山洪临界雨量的确定方法主要包括统计法、水文模型法和类比法三种。针对不同的山洪沟,可根据所收集的资料情况进行选择。方法选择的一般原则:
1、有完整水文资料(包括水位和流量)的流域同时采用统计方法和水文模型方法;
2、有部分水文资料(只有水位资料)的流域,同时采用统计法和水文模型的方法;
3、无水文观测资料,但有典型山洪淹没水位记录的流域,可采用实地考察结合水文模型的方法;
4、无水文观测资料也无典型山洪个例的山洪沟,可采用类比法。需要特别指出,这里的类比法不是釆用具有相同地形山貌的山洪沟的临界(面)雨量,而是用具有相同的地形地貌和土地利用的山洪沟已经用1-3其中一种方法率定好的水文模型进行山洪淹没情景模拟确定山洪临界雨量。
一、统计法
统计法是应用相关分析、回归分析等统计方法,构建降雨量-水位关系式,可用回归模型或非线性模型。适用于山洪沟流域中有水文观测的水位资料且流域内有足够的气象自动站资料或者有雷达估测降水资料的山洪沟,其基本操作流程(图8.1)为基于研究区和资料情况确定统计方法→根据所选用方法对资料进行整理→利用历史洪水记录建立水位与实测降水量或雷达估测降水之间的定量关系。

图8.1 统计法流程图
以贵州望谟河山洪沟致灾临界(面)雨量的确定为例详细介绍统计法。
1、流域概况
望谟河位于贵州南缘的望谟县境内,地处贵州高原向广西丘陵过渡的斜坡地带,地势北高南低,最高点海拔高度1718m,最低点海拔高度275m,平均海拔868m。望谟河属珠江流域北盘江水系,全长73.6km、流域面积557km²、河流落差1211m。望谟县城区位于河流的中段,县城以上流域面积为194.8 km²(图8.2)。

图8.2 望谟河流域及流域内乡镇自动站位置图
2、致灾临界雨量确定的方法
(1)临界水位的划分标准
考虑到山洪对望谟县城的影响,将上游水位站(预警点)的水位上涨划分为三个等级(表8.2)。
表8.2 望谟河上游洪水等级划分

(2)收集资料
收集2010年5~10月水位雨量站的逐时水位资料及对应时段流域内(及周围)雨量站逐时降水资料,望谟河流域内雨量站信息(表8.3)。此外,还需收集历史典型山洪个例的灾情记录及其暴雨过程水位站的水位资料。
表8.3 望谟河流域雨量站信息

(3)数据处理
由于分析的是水位站的水位资料,故仅取水位站上游的站点作为分析的对象,包括打易、纳包、新屯和水位站,共4个。
(4)选择分析方法
望谟河流域有水位观测资料和逐时雨量资料,故采用统计分析方法。
(5)确定降雨量-水位关系
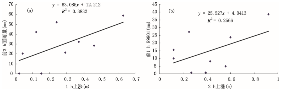
望谟河为雨源性山区河流,地表径流由降雨补给,河流水位暴涨暴落特征明显,在雨强较大的情况下,极易在1~3h内引发山洪。利用望谟河水位站2010年4-10月逐时最大水位,挑选各流域具有较明显水位涨幅(水位上涨≥0.1m)的1~6h个例,用R9801、R9817、R9803雨量站雨量平均代表面雨量,分别计算水位涨幅与前1~6h累计面雨量或单站雨量的相关系数,选择相关系数最高的面雨量或单站雨量,建立水位涨幅与面雨量的一元一次回归方程。

图8.3 望谟河(a)1h水位涨幅、(b)2h水位涨幅与雨量的关系
相关分析表明,前3h累计面雨量与未来1h水位涨幅以及R9801站前1h雨量与未来2h水位涨幅具有较高的相关关系(图8.3),也是各种组合中相关最好的二组,相关系数分别为0.62和0.51。分别建立以下回归模型:
(8.1)
其中Y1为前3h累计面雨量,
为未来1h水位涨幅。
(8.2)
其中Y2为前1h R9801雨量,
为未来2小时水位涨幅。
(6)确定临界雨(面)量指标
根据公式(8.1)、公式(8.2),确定不同风险等级对应的山洪临界(面)雨量(表8.4-表8.5)。
表8.4 望谟河1小时水位上涨及其对应面雨量

表8.5 望谟河2小时水位上涨及其对应面雨量

由此得到1h水位上涨山洪预警等级指标(章国材,2012):
三级:前3h面雨量70~140mm,1h水位上涨1~2m;
二级:前3h面雨量140~260mm,1h水位上涨2~4m;
一级:前3h面雨量≥260mm,1h水位上涨4m以上。
由此得到2h水位上涨山洪预警等级指标:
三级山洪:R9801前1h雨量30~60mm,2h水位上涨1~2m;
二级山洪:R9801前1h雨量60~100mm,2h水位上涨2~4m;
一级山洪:R9801前1h雨量≥100mm,2h水位上涨4m以上。
(7)指标检验优化
通过实际业务服务对临界(面)雨量指标的合理性进行检验评估,并根据检验和实况、反馈信息进行优化完善。
二、水文模型法
水文模型法基本思路是选择水文模型→准备输入和验证数据→基于历史水文、实地考察淹没数据率定和验证模型→得到适用于研究区的最优化模型参数→提取洪水淹没进程数据→建立水位与降雨量的定量关系。
此方法适用于小流域上有水位和流量观测的水文观测站,并有足够的气象站雨量资料,其基本流程(图8.4)。

图8.4 水文模型法流程图
以江西曹水流域致灾临界(面)雨量的确定为例详细介绍水文模型法。
1、流域概况
曹水流域(图8.5)面积为125km²、河长27.1km、主河道天然落差为388m、河道平均比降为14.3‰,河道上无水库,洪水来势凶猛、历时短。
2、致灾临界雨量确定的方法步骤
(1)收集资料
该河道于曹水流域出口新斜村设置有一水文站,水文观测开始于1967年,测得流量情况变幅较大,最大流量为321m³/s,最小流量仅0.14 m³/s,年内分配极不均匀。从2000年起江西省水文局在该流域布设了6个雨量观测站,加上新斜水文站的雨量观测,该流域有7个雨量观测站。收集了2004~2010年(4-9月)20余个降水过程各雨量观测站逐小时降雨量及同时段新斜水文站逐小时流量、水位数据,新斜水文站就是预警点。

图8.5 曹水流域示意图
曹水流域有村民小组50余个,通过实地考察以及对历史山洪灾害的调查得知,该山洪沟边的水田经常受山洪淹没,并且部分民房也受到山洪淹没。2011年6月20日降水过程造成该流域官仓村10余栋民房受淹,此过程调查得到了较详细的灾情信息,对水文模型、水动力模型的调试有较大的帮助。
通过现场调查可以确定不同的山洪灾害隐患点,例如水田、居民点、公路等。由于各隐患点相对山洪沟的地理位置不同,需要对隐患点相对山洪溪沟的距离和高程差等地理属性进行现场测量,确定各隐患点与山洪沟的高程差,为确定不同等级山洪灾害的水位高度奠定基础。
(2)数据处理
根据1:50000GIS数据提取流域边界,根据流域范围内气象站或雨量站,采用泰森多边形计算流域面雨量。
(3)选择方法
根据江西省宜黄县曹水流域收集到的资料情况,适合采用水文模型法,运用了TOPMODEL水文模型(徐宗学,2009)。
(4)确定降雨量-水位关系
根据收集到的新斜站水位和流量观测资料,建立了曹水流域水位和流量之间的关系曲线(图8.6),其关系式为:
(8.3)

图8.6 新斜站水位流量曲线图
曹水流域新斜水文观测站周围地势开阔,山洪沟附近有大面积农田、居民、房屋,因此将该居民点作为山洪灾害风险预警点。根据现场调查,按照山洪灾害风险等级标准(漫堤、淹没预警点0.6m、1.2m和1.8m),洪水漫出山洪沟的水位为99.16m,作为最低等级四级风险水位,居民点房屋与山洪沟漫沟水位的高程差平均为1.0m,因此,其它三个风险等级对应的水位分别为100.76m、101.36m、101.96m。
根据以上关系式可以分别求出四至一级风险山洪灾害对应的临界流量值分别为:55 m³/s、164 m³/s、205.5 m³/s、246.9 m³/s。
根据收集到的降水、流量资料对TOPMODEL模型所需的参数进行率定。选取曹水流域2000年至2008年的16个洪水过程对TOPMODEL模型进行参数的率定和检验。模型使用的DEM分辨率为25×25m,模拟时间步长为1h。模型的输入为面雨量、蒸发量,输出为流量、径流深等。面雨量利用流域内6个自动雨量站的资料采用泰森多边形法进行计算,考虑到山洪过程为阴雨天气,在率定模型时将蒸发量考虑为0mm。
参与率定与检验的洪水过程确定性系数均高于0.7,其平均值为0.85,径流深相对误差和洪峰相对误差平均小于20%(表8.6)。从模拟结果看,TOPMODEL能够通过面雨量较准确地模拟出流量和径流深。
表8.6 部分降水过程流量模拟结果

(5)确定临界(面)雨量
TOPMODEL模型可以根据面雨量计算出流量,同样根据流量也可以反算出面雨量。如反算1h的临界(面)雨量,可以通过给定一个面雨量值,用TOPMODEL模型进行流量模拟。如果模拟流量和给定的临界流量相差较大,那么重新给定面雨量进行模拟。通过多次模拟,直到模拟流量和临界流量十分接近,此时得到的面雨量就是临界面雨量。
根据不同等级临界流量,利用TOPMODEL分别反算了造成不同等级山洪灾害的h、3h、6h、12h、24h的面雨量,作为不同等级山洪灾害的临界面雨量(表8.7)。
表8.7 山洪临界(面)雨量

(6)指标检验优化
通过实际业务服务对临界(面)雨量指标的合理性进行检验评估,并根据检验和实况、反馈信息进行优化完善。
三、水动力模型法
其基本思路是实地考察历史洪水淹没状况→选择水文模型→准备输入和验证数据→基于典型山洪实地考察淹没数据率定和验证模型→得到适用于研究区的最优化模型参数→提取洪水淹没进程数据→建立水位与降雨量的定量关系。
此法适用于有气象资料,而无任何水文观测资料,但有典型山洪个例的山洪沟。主要山洪信息来源于实地考察,通过水文模型反演典型山洪个例,根据淹没状况确定临界雨量,其基本操作过程(图8.7)。
选用洪水淹没模型(Floodarea,简称FD)有三种模态,即降雨洪水淹没、河网漫顶式洪水淹没、溃坝淹没。

图8.7 水动力模型法确定临界雨量的流程图
实时河网漫顶式洪水淹没模拟仅适合流域内有水文站的洪水过程,在利用河网数据、水深数据模拟整个河网漫顶的洪水演进过程中,通过河网水位高出堤坝的地形高程,逐步由河网向外漫出,迭代计算流量交换和水流速度,去获取特定时间的洪水淹没范围(图8.8)。

图8.8 河网漫顶洪水演进模拟过程
降雨洪水演进模型利用预报评估流域或者区域的面雨量,以秒为单位计算出流域或区域每个设定栅格所增加的水量,通过曼宁公式依次迭代计算流向其他栅格的水量,计算给定时间t后,地面形成的积水信息,最后通过阈值的设定来分析最终的淹没范围进行降雨造成的洪涝灾害分析(图8.9)。这种模态适合用于山洪淹没模拟。
以福建将乐安福口溪流域致洪临界(面)雨量的确定为例介绍水动力模型确定法确定致洪临界雨量(文明章,2013)。

图8.9 降雨洪水演进模型模拟流程
1、流域概况
安福口溪流域位于福建省三明市将乐县境内,流域涉及到安仁、大源、万安三个乡镇的数十个行政村、自然村。安福口溪呈西北-东南走向,流域境内海拔为140~1455m、流域面积约348 km²、流域干流长度约为24km,为高山峡谷型河流(图8.10)。由于流域地势陡峭,河谷狭小,且处于大山深处,无水文观测资料,气象观测也极为有限。
2010年6月18日,安福口溪遭遇了暴雨袭击,流域内多个村庄的田地、居民点受淹,洪水浸渍时间长达一下午,农作物、经济损失严重。

图8.10 安福口溪流域考察范围和考察点分布图
2、致洪临界雨量确定的方法
(1)收集资料
由于将乐县安福口溪缺少水文资料,通过现场实地考察,了解历史洪涝灾害发生发展的情况,对2010年6月18日暴雨过程引发的山洪进行了详细调研,选择隐患点(图8.10),记录洪水淹没情况,着重对淹没范围、淹没深度、河床特征、受灾情况等进行了解和测量,并对当地人口分布做了一些了解与统计。
实地测量目的是获知堤防与周边地块的相对高程差、距离,便于分析在水漫堤(沟)的情况下,周边地块淹没范围;测量内容有记录河堤、农田、民房、农业生产设施的经纬度、标尺读数,通过标尺读数计算相对高程。测量地点集中于受灾严重的梅溪洪梅村以上区域,在高差测量过程中,参考当地村民的调查寻访结果,主要选择了以往最高水位时洪涝淹没的边界代表点或频繁被淹没区域的边界代表点或地势较高没有被洪水侵扰的区域代表点进行了实地考察(表8.8)。
表8.8 安福口溪流域考察资料

(2)数据处理

图8.11 安福口溪面雨量泰森多边形
整理考察资料,选取流域预警点及防洪堤等信息。根据1:50000DEM数据提取流域边界,计算流域面积、比降、落差等参数;根据流域范围内气象站或雨量站,采用泰森多边形计算流域面雨量(图8.11,泰森系数列于表8.9中);以土地利用类型数据为基础,按居民地、水体、旱地、水浇地、林地5种类型确定地表水力糙度初始值,根据模拟结果进行详细调整;采用(SCS)模型,充分考虑流域前期土壤湿润程度、坡度、土壤类型和土地利用现状的综合特性,求算研究区域的产流系数初值,根据模拟结果进行详细调整。

图8.12 致灾临界雨量的确定
(3)模型率定
该山洪流域为无水文观测资料,但有典型山洪淹没水位记录的流域,可通过实地考察预警点的淹没时间和水深,采用FD模型,根据淹没记录对淹没的时间和深度进行模拟,调整模型的参数,使得模拟预警点洪水出现的时间和水深与实况尽可能一致。
(4)确定降雨量-水位关系
以万安镇行政区为预警点,利用2010年6月18日暴雨过程造成的山洪个例进行模拟,模拟洪水演进过程(图8.12)。

图8.13 安福口溪预警点模拟洪水深度与面雨量的关系
分析预警点模拟水位与前1~6h累计雨量的相关关系,得到累计4h面雨量相关系数最大(0.9504),故取4h累计面雨量来确定致洪临界面雨量。建立安福口溪面雨量-水位关系的回归方程如下:
(8.4)
式中y为安福口溪流域4h累计面雨量,x为预警点实际离地淹没水深(图8.13)。
(5)确定临界(面)雨量指标
按照山洪等级对应的淹没深度,万安镇自然河岸高于河道4m,取河道为基点,那么各等级淹没水深换算成基于河道的水深就是4m、4.6m、5.2m、5.8m。
利用3.4式得到四级山洪的临界(面)雨量(表8.9),表中临界水位高度为相对河道的高度。
表8.9 安福口溪山洪临界(面)雨量表

表8.9中的山洪临界面雨量是通过模拟2010年6月18日的山洪得到的,只是这个案例情景下的山洪临界面雨量。造成山洪的降雨情景很多,例如江西省宜黄县曹水河流域就确定了多种降雨情景下的山洪临界面雨量。因此,可以假设多种降雨情景,用率定好的淹没模型进行降雨情景模拟,就可以得到多种降雨情景下的山洪临界面雨量。所谓降雨情景包括两个方面,一是降雨强度不同,二是降雨空间分布不均匀。因为山洪沟流域面积较小(≤200 km²),应当重点模拟不同降雨强度下引发的山洪临界面雨量。
(6)指标检验优化
2012年雨季期间,安福口溪监测到2次洪水过程(表8.10),其中5月1日6-8时水位上涨最高,其余洪水都很小,临界面雨量指标和实际情况吻合,检验结果合理。
表8.10 2012年安福口溪山洪致灾临界雨量检验

四、类比法
对于既无水文资料又无山洪案例的山洪沟,可采用类比法得到每条山洪沟的致洪面雨量。类比法步骤为通过类比得到与研究流域相似的山洪沟→利用相似山洪沟已确定的模型参数→进行山洪情景模拟试验→提取洪水淹没进程→建立水位与降水量的定量关系。此方法同样需要对河道参数和预警点进行详细调查,利用与其地形地貌相似,且率定好模型参数的山洪沟水文模型,模拟该山洪沟的洪水,达到不同风险等级淹没水深的输入降雨量为对应山洪等级的临界(面)雨量。
类比法不是直接采用相似地形地貌山洪沟的临界面雨量,而是采用相似山洪沟率定好的水文模型,模拟不同降雨情境的淹没状况,确定致洪临界雨量。这是因为每条山洪沟的长度、流域面积、比降、沟宽等河道参数都不同,因而致洪临界面雨量不同。
业务上可以根据地形地貌相似的原则,将全省划分成几个地形地貌相似区,对于每一个区,应当通过调查得到至少一个山洪个例,用这个山洪个例资料来率定淹没模型,然后用率定好的淹没模型对这个区域内的每条山洪沟进行降雨情景模拟,可以得到每条山洪沟的致洪面雨量。这实际上假定地形山貌相似的山洪沟在淹没模型中的参数是相同的,这种假定是合理的。
致洪临界面雨量是相对于预警点而言的,预警点不同,致洪临界面雨量也不同。每一条山洪沟,预警点可能有多个,因而需要研究每一个预警点的致洪临界面雨量。有一个简单的办法,跳过致洪临界面雨量的研究,直接用率定好的淹没模型做山洪预报,得到山洪沟内每一个预警点的淹没水深。对于基层台站,可以采用情景模拟的方法,绘制各种降雨情景下的淹没图,实时业务中,根据降雨实况或预报的降雨,对号入座调出相应的淹死图,就得到山洪的淹没预报了。