中小河流上一般都建有水文站,有长序列的水文观测资料,且水文和气象部门布设的雨量站密度较高,可开展雨洪关系的研究。对于汛期有一定水位的中小河流,需要研究有一定基础水位的雨-洪关系。目前求算雨洪关系,有统计分析法和水文模型法两种方法。
水利部门根据防洪的需要,将河流洪水按水位划分为警戒水位和保证水位两种,再加上漫堤水位,我们需要开展达到这三种水位的致洪临界面雨量的研究,用于洪水预报和风险评估。
一、统计分析法
统计分析法。分析历史洪水的洪水水位或水位上涨与水位站以上流域的面雨量及其他有关变量的关系,建立统计模型(线性、非线性、神经网络模型等)。根据这个统计模型,便可以得到不同洪水等级的流域临界面雨量。
因为降雨情景(降水的不同时空分布差异)的不同组合都可能产生不同级别的洪水,因此,首先必须对中小河流的历史致洪过程进行分析,归纳出不同的降雨情景,包括降雨历时和强度、降雨的空间分布,分别计算不同降雨情景下的致洪面雨量,从而有多个不同降雨情景下不同级别的致洪面雨量。
一般河道洪水致洪时间较长,必须要考虑土壤渗透,进而建立土壤饱和度、面雨量、洪水水位三者关系。下面以雾渡河临界雨量推求为例:
1、雾渡河雨洪关系
通过计算面雨量等相关因子与水位增长量之间的相关系数,建立Y(水位增量)–L(基础水位)–R(流域面雨量)之间的回归关系。通过对雾渡河历史过程分析,有3种降雨情景都可以产生洪水,分别建立不同降雨情景下(时间尺度)的雨洪关系。以下给出雾渡河不同时间尺度拟合关系式及检验分析。
(1)6h降水线性回归拟合及结果分析
拟合曲线(图7.1-a):
Y=-0.4576* L +0.0542* R +185.1797 (7.1)
式中,L为基础水位,R为6h面雨量,r²=0.9556;对回归系数、常数进行t检验,信度均小于0.0001,回归系数显著。
(2)12h降水线性回归拟合及结果分析
拟合曲线(图7.1-b):
Y=-0.0532·L+0.0341·R +21.1837 (7.2)
式中,L为基础水位,R为6h面雨量,r²=0.9050;对回归系数、常数进行t检验,信度均小于0.0001,回归系数显著。
(3)过程性(≥12h)降水线性回归拟合及结果分析
拟合曲线(图7.1-c):
Y=0.2022· L+0.0188· R-81.9827 (7.3)
式中,L为基础水位,R为6h面雨量,r²=0.8762;对回归系数、常数进行t检验,信度均小于0.0001,回归系数显著。

图7.1 不同时间尺度(a)6h、(b)12h、(c)过程性降水≥12h降水雾渡河水位增量模拟值与实际值散点分布图
2、雾渡河致洪临界面雨量
将Y=保证水位(或警戒水位)-L,代入公式(7.1)~(7.3),即可得到对应的临界面雨量公式:
R’=a·保证水位(或警戒水位)+b·L+C (7.4)
式中,R’:临界面雨量,L:基础水位,a、b为系数,C为常数。
雾渡河警戒水位为410m,对应6h雨洪关系(式7.1),即可得到对应不同的基础水位相对应的临界面雨量计算公式,如6h临界雨量与基础水位关系绘制成图(图7.2),可用于查找预警指标,其余对应关系略。
3、雨洪关系式检验和临界面雨量预报检验
如果Y=H-L,即表示未来水位H与基础水位L之差,代入公式(7.1)~(7.3)即可用于水位预测,2011年汛期几次降雨过程检验结果表明,预测水位误差均小于20%。误差分析举例:2011年6月13日20时~14日08时,雾渡河流域(面雨量)12h实况降水量为50.0mm,水位上涨1.46m,根据12h雨洪关系计算,水位上涨∆L=1.28m,较实际值误差12.4%。

图7.2 雾渡河6h临界面雨量与基础水位对应图
同样选取2011年6月13日20时—14日08时雾渡河流域的这次暴雨过程为例,6月13日20时雾渡河基础水位为406.17m,根据临界面雨量计算公式计算可得:
表7.1雾渡河不同时间尺度致洪临界面雨量表

从表7.1中可得到,各种时间范围内,降雨对雾渡河水位可能产生的影响。根据当地的实况预报雨量,此次过程的强度12h降雨量≤50mm,过程降雨量≤100mm,因此不会对雾渡河流域形成洪水灾害,无需采取应急措施。
二、水文模型法
水文模型是以流域为系统,模拟流域上降雨径流的形成过程。系统输入的是降雨量和蒸发量,输出为流域出口断面流量过程。流域模型有产流和汇流两个子系统,可以看作产、汇流模型的组合。产流模型模拟流域坡面上(水平向及垂直向)各种水分的活动与交换,以水量平衡为基础,又分为蒸散发、土壤水、地表流、壤中流、地下水流等子系统。汇流模型模拟净雨量汇集至出口断面的自然过程,以流域调蓄为核心,又分各种水源的坡面汇流及河槽汇流等子系统。水文模型有很多,根据流域的产汇流特征选取适合的水文模型。
基于若干典型灾害案例(洪灾出现时水位)或防洪设施标准(警戒、保证、分洪水位等),采用水文模型及流量和水位关系,进行反演分析产生洪灾的临界气象条件,应用该条件作为判断是否进行风险评估后续分析的阈值。
1、流域概况与致灾条件识别
漳河发源于湖北省南漳县境荆山南麓之三景庄,流经保康、远安、荆门、当阳等县(市),于当阳市两河口与西支沮河汇流,全长202km。流域为一长条形,自西北向东南倾斜,平均长约100km,宽约30km,流域面积2980km²,海拔高程在42~1400m之间。漳河水库位于湖北荆门市。水库控制流域面积2212 km²,其中观音寺水库1957 km²、鸡公尖水库255 km²,总库容20.35亿m³,是一座以灌溉为主,兼有防洪、发电、养殖、供水、环境保护等综合利用的大型水利枢纽。(如图7.3所示)

图7.3 漳河流域的示意图
洪水标准的选取原则可有两种方案:一是由控制水位确定(李兰等,2013);二是调查灾情确定。漳河水库位于湖北省荆门市境内,系拦截漳河及其支流而成,位于漳河流域中游,由观音寺、鸡公尖水库经明渠串联而成,漳河水库既表征了上游汇水特征,其水位又与下游的洪涝灾害密切。按照水库水利设施的设计标准《漳河水库调度运用手册》,选择漳河水库的漫过堤坝洪水位、校核洪水位、设计洪水位、防洪高水位为不同等级洪水的标准(表7.2)。
表7.2 漳河水库洪水水位标准

2、临界(面)雨量确定的方法步骤
(1)基础资料收集
根据研究需要,收集相关气象、水文、地理、隐患点、灾情等各类资料。
小流域暴雨洪涝灾害是因为流域内的强降水形成径流、汇流,大大超过了中小河流及水利设施的防洪承受能力的结果。利用统计方法及水文模型模拟计算流域的临界(面)雨量所需资料如下:
① 率定水文模型所需资料:试验流域约40~50场洪水过程的逐小时降水、流量资料、水位资料。
② 确定流域、降雨量-水位关系、水库设计抗洪能力所需资料:地理信息数据、漳河流域矢量边界数据、漳河水库历史洪水、径流数据、水库抗洪能力相关数据。
③ 确定洪水标准所需资料:流域洪水临界水位需要漫坝洪水位(水库大坝高度)、校核洪水位、设计洪水位、防洪高水位、汛限水位等以及相应的库容数据。
④ 漳河流域及其下游洪涝灾情资料。
⑤ 漳河流域洪涝灾害隐患点资料。
(2)前期数据准备处理
资料质量检查和控制。对收集的降水、流量资料、水位资料进行检查,并进行质量控制,检查数据的完整性和有效性,将当中的无效和异常数据剔除,比如缺测数据、错误或乱码数据。对灾情数据进行实地调查及核灾。
运用漳河流域矢量边界数据,从地理信息数据中提取相关数据(土壤类型、土地分类、高程等),确定研究区范围。
中小流域面雨量的计算以运用水文雨量站资料最为有利。因为水文雨量站点的设立是以计算流域面雨量为基础的,分布较均匀,在水文雨量站资料齐全的条件下,面雨量直接用各站雨量求平均值即可。但也应考虑气象灾害预警时,是否能实时获得这些站点雨量资料。
(3)选择分析方法
根据资料收集情况和流域特点,采用统计分析法和水文模型两种方法来确定研究区降雨量和水位关系。
(4)统计分析方法确定降雨量和水位关系及临界面雨量
根据漳河流域气候特征,统计流域多年平均降水以及径流量,计算分析流域多年平均径流系数,结合水库水位-库容关系,推算相应的雨量,由此得到表7.3。
表7.3 漳河流域漳河水库水位库容关系及临界(面)雨量推算表

赵金河,陈崇德.2001.漳河水库调度运用手册.湖北省漳河工程管理局。
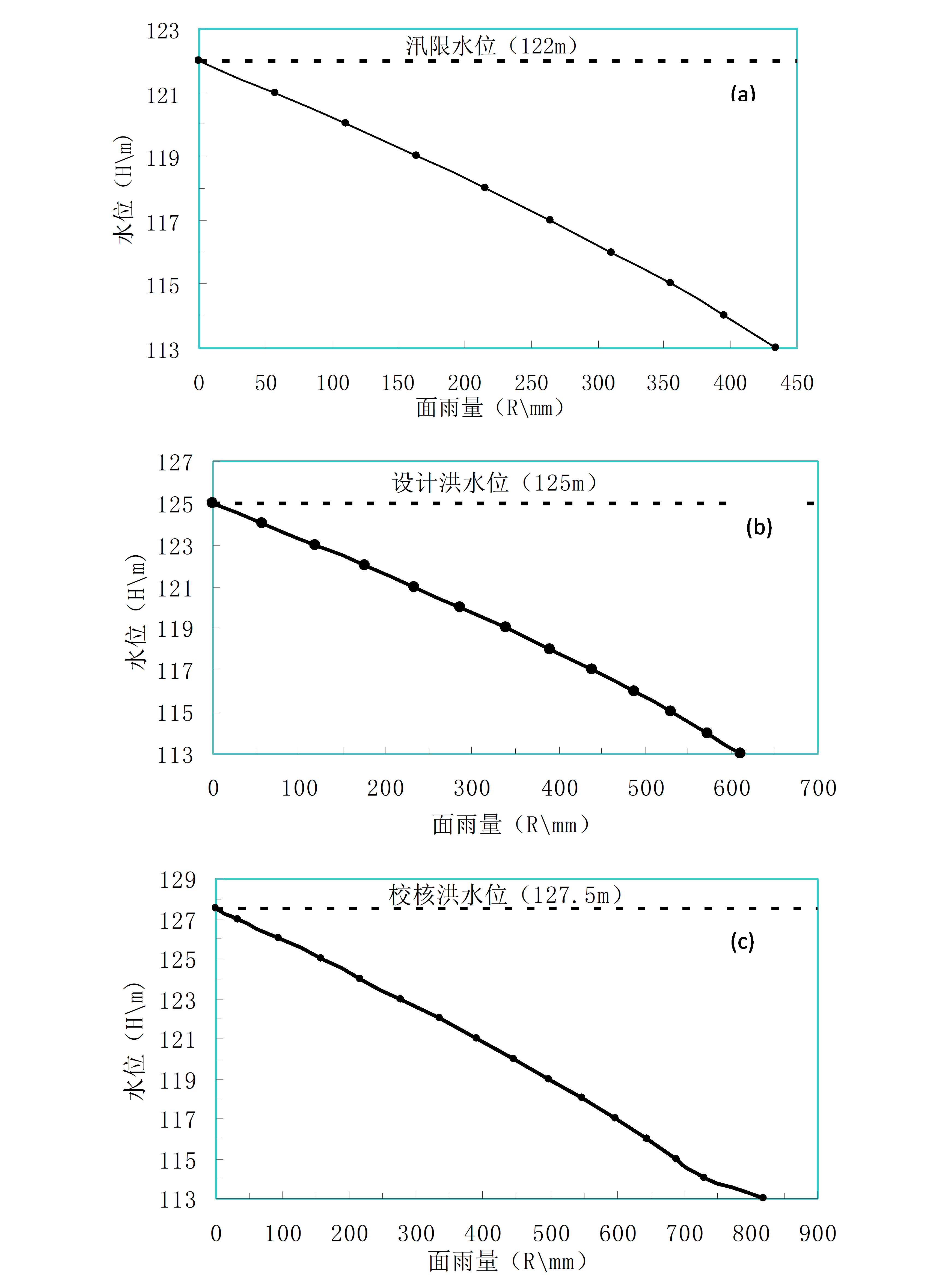
根据表7.3可统计得到不同水位下到达不同等级致灾标准的临界(面)雨量(图7.4),并由此计算代表性水位114m、116m、118m、120m到达不同等级灾害标准的临界面雨量(表7.4)。

图7.4 漳河水库不同洪水水位((a)汛限、 (b)设计、(c)校核)水位雨量统计关系曲线
表7.4 不同基础水位达到各级洪水标准时所需的面雨量

(5)水文模型模拟推算不同等级洪水标准下的临界(面)雨量
以汛限水位为122m、防洪高水位124m、设计洪水位为125m、校核洪水位为127.5m、漫坝洪水位为127.7m为洪水标准,选择不同的基准水位,将单位时间内流域面雨量输入水文模型,进行汇流模拟,计算试验流域的水库库容变化,从而确定不同水位到达汛限水位、防洪高水位、设计洪水位、校核洪水位、漫坝洪水位所需的面雨量,即流域不同等级洪涝灾害的临界(面)雨量。
① 水文模型模拟推算临界(面)雨量技术思路(图7.5)

图7.5 基于水文模型模拟的临界(面)雨量技术流程图
② 模型选择及参数率定
水文模型选择新安江模型,利用漳河流域历史洪水过程进行参数滤定,首先选择30场左右的洪水过程进行洪水模拟试验,率定水文模型参数,然后利用6场洪水过程对所率定的参数进行预报检验(彭涛等,2010;崔春光等,2010;彭涛,2011),直到检验结果满足《水文情报预报规范》(SL25-2000)。
在参数率定的基础上,选择120m、118m、116m、114m为基准水位,以24h为时间限制,将24h流域面雨量按逐小时雨量输入水文模型,进行60h汇流模拟,计算试验流域的水库库容库容变化,从而确定基准水位在120m、118m、116m、114m条件下的临界面雨量。
③ 雨量分布形态假定:
均匀分布:
根据流域24h总面雨量(
>),假定雨量在24小时内平均分布,则流域逐小时雨量(
>)为:
>=
>/24 (7.5)
随机分布:
假定雨量在24h内呈随机分布,首先利用C++语言随机函数产生24个随机数,再结合流域24h总面雨量(
>)处理后,通过程序自动生成流域逐小时雨量(
>),使其满足如下关系:
且
(7.6)
正态分布:
假定雨量在24h内呈正态分布,根据正态分布密度函数,设计程序自动生成流域逐小时雨量(
>),使其满足正态分布。
④ 临界面雨量的推算
根据三种假定的雨量分布形态求取流域24h雨量分布,首先将24h流域的总面雨量(R24)分别转化成均匀分布、随机分布、正态分布三种形态的逐小时雨量,然后输入水文模型,进行60h汇流模拟计算,计算试验流域漳河水库的水位变化,分别计算基准水位在114m、116m、118m、120m条件下到达汛限水位、防洪高水位、设计洪水位、校核洪水位、漫坝水位所需的面雨量,同时,将统计方法计算的不同洪水标准下的临界面雨量值列入表中以便进行比较(表7.5~7.9)。
表7.5 不同基准水位达到漫坝洪水位(127.7m)所需面雨量

表7.6 不同基准水位达到校核洪水位(127.5m)对应面雨量

表7.7 不同基准水位达到设计洪水位(125m)对应面雨量

表7.8 不同基准水位达到防洪高水位(124m)对应面雨量

表7.9 不同基准水位达到汛限水位(122m)对应面雨量

以上仅假定三种降雨情景(平均分布、随机分布、正态分布),得到不同的致洪面雨量。实际降雨情景更加复杂,需要对中小河流的历史致洪过程进行分析,归纳出不同的降雨情景,分别计算不同降雨情景下的致洪面雨量。另外,漳河属于中型河流,不仅需要考虑降雨的历时,还需要考虑降雨的空间分布,从而有多个不同降雨情景下的致洪面雨量。
⑤ 考虑水库调蓄作用的临界面雨量计算
当上游降水量大,水库来水量就大,为了保证水库的安全,水库应具有一定的调蓄作用。当当水库水位到达汛限水位时,水库启动调蓄功能,向下游排水(排水量为800m³/s)。
汛限水位到达防洪高水位、设计洪水位、校核洪水位、漫坝水位所需的来水量(即库容差)如下(表7.10):
表7.10 汛限水位到达防洪、设计、校核、漫坝水位所需库容统计表

模拟计算过程中,以122m的汛限水位作为基准水位,将24h流域面雨量(设定降水均匀分布)按逐小时雨量输入水文模型,进行60h汇流模拟,计算60h水库的汇流量,然后去除60h水库下泄的排水量,与表7.6~7.8中汛限水位到达防洪高水位、设计洪水位、校核洪水位、漫坝水位所需的来水量进行对比分析,分别得到达到各位所需的雨量(表7.11)。
表7.11 泄洪条件下,汛限水位到达防洪、设计、校核、漫坝水位的临界雨量

注:排水量按800立方米/秒计算所得
3、结果分析
表7.12为漳河流域不同洪水等级临界面雨量。试验流域模拟计算表明,雨量呈平均分布条件下达到漫坝洪水位、校核洪水位、设计洪水位及防洪高水位、汛限水位所需的临界面雨量最大,同时高于统计值;而在漫坝洪水位、校核洪水位、设计洪水位下,正态分布临界雨量均小于统计值,同时,在漫坝洪水位、校核洪水位,除114m水位以外,正态分布临界雨量均小于随机分布。在试验流域,从天气学角度分析,一般雨量呈现均匀分布代表稳定性降水,由于降水过程均匀,产流方式一般以蓄满产流为主,故临界雨量相对较大;而正态分布一般代表着强降水类型,小时雨强大,可能导致产流方式出现超渗产流,故临界雨量较小。
模拟研究发现,中小河流及流域临界面雨量不仅与水位有关,而且雨量时空分布不同,其模拟计算结果也不同,雨量均匀分布,临界雨量唯一,雨量正态分布差异较小,雨量随机分布差异较大;其次模拟计算的时效不同,汇流时间不同,其模拟计算的结果也不同。
如果预报流域降水为稳定性降水,则临界面雨量取平均分布阈值;如果为对流性降水,则临界面雨量取正态分布阈值。
表7.12 不同洪水等级临界面雨量(附录5 F-T3B表)


图7.6 中小河流洪水定量化风险评估流程