章节目录
第二节 气象灾害风险评估方法

气象灾害风险评估有两种思路和方法,一种是基于气象灾害事件预报预警与当前承灾体易损性的风险评估,一种是基于气象灾害事件预报和历史灾损资料的风险评估。这里所说的气象灾害事件是指洪水、内涝、滑坡、泥石流等,不包含“损失”的内容。

一、基于气象灾害事件预报和当前承灾体易损性的风险评估

1、评估思路

如果能够预报气象灾害h的强度和影响范围,又建立了承灾体数据库和脆弱性曲线库,可求出(4.1)式中的每一种承灾体的物理暴露()和脆弱性(),就可以得到灾害风险评估结果。这种方法称之为基于气象灾害事件预报和当前承灾体易损性的风险评估,简称为基于承灾体易损性的风险评估。

这种方法有两种情况,一种是人类对某种灾害的防御能力很强,例如对于小麦干旱灾害,在实现全灌溉的地方,=1,=0,根据(4.1)式,=0,不存在干旱的风险。另一种是突发气象灾害,因为每一次气象灾害过程的防灾减灾能力(应对措施)难以预测,因此,实际上要评估的是气象灾害h可能的最大影响:

(4.3)

风险评估的第一步是评估受强度为I的第h类气象灾害影响的每一种承灾体的物理暴露(数量和价值量)。做到这一点风险评估就能在防灾减灾中发挥重要作用。例如,如果能够准确预报山洪可能淹没哪个村镇及水深,政府就可以采取相应的防御措施,把人员伤亡、财产损失降到最低。

第二步是进一步评估可能的损失,确定承灾体灾的脆弱性。第三章介绍的承灾体脆弱性曲线就可以发挥作用。

2、评估流程

首先预报气象灾害的强度和影响区域,其次评估受灾害影响区域内承灾体的数量和价值量及可能的损失量。

(1)进行气象灾害事件预报

因为致灾临界气象条件是气象灾害发生的充分必要条件,因此气象灾害事件预报实际上是致灾临界气象条件预报。气象灾害事件预报和风险评估是为了及时有效防灾减灾服务,因此,气象灾害事件预报需要有比较高的时间和空间分辨率和准确率,政府和公众才能有效地防御灾害、减少损失。同时,还要解决好气象灾害事件预报预警信息的即时发布问题,为政府和公众防御灾害赢得时间和空间。

(2)确定气象灾害影响范围

对于气温、风、冰雹、雾、沙尘暴等气象要素和天气现象,其致灾阈值(致灾临界气象条件)预报所覆盖的范围便是气象灾害影响范围。

然而,降水的预报范围(落区)并不是洪涝的影响范围,还需要用淹没模型来得到强降水的淹没范围。淹没模型有统计模型和水文模型两种,统计模型是根据历史上出现过的洪涝的淹没范围来估计当前同样强度洪涝(即同样强度的面雨量)的淹没范围及水深,只要孕灾环境和防灾工程没有发生变化,统计模型就有很好的效果。水文模型是在空间分析工具GIS支持下,根据高精度的地形(DEM数据)、详尽的排泄条件等模拟洪水汇流、淹没范围和水深,模型率定成熟后也会有较好的参考价值。

(3)开展灾害风险评估

第一步是评估气象灾害覆盖范围内受影响的承灾体的数量和价值量,这需要建立承灾体的数据库。第二步是评估可能的经济损失和人员伤亡,根据承灾体脆弱性曲线,可以进行经济损失值和人员伤亡数量的评估。

(4)建立基于GIS的承灾体数据库和自动化风险评估平台

为了评估气象灾害对承灾体的影响,应当建立基于GIS的承灾体数据库,包括承灾体数据库和承灾体脆弱曲线库。目前GIS中已包括村镇、土地利用等数据,还需要增加人口、房屋、财产、道路、桥梁、学校、医院以及油库、变电站等危险场所、企事业、风景名胜等数据,添加到GIS的图层中。

自动化风险评估平台应当能够自动获取致灾因子实况和预报数据,并能够自动与致灾临界气象条件相比较,当达到阈值时自动报警;对于洪涝类灾害,还能自动启动淹没模型(或事先计算好各种降雨情况下的淹没范围和水深),自动计算(或提取)淹没范围和水深;并能根据承灾体数据库,自动生成承灾体物理暴露评估的产品;自动调用承灾体脆弱性曲线,自动生成这种承灾体灾损评估产品。这个平台能够人机交互修改灾害预警和风险评估产品,经责任人签发后向预警分发系统推送该产品。

二、基于气象灾害事件预报和历史灾损资料的风险评估

1、评估思路

在没有承灾体脆弱性曲线资料,如果有历史灾损资料,也可以评估灾害可能的损失。因为历史灾损资料是某种强度的灾害综合作用于影响范围内承灾体的结果,它代表了(4.1)式的综合结果。因此,可以用来评估可能的人员伤亡和经济损失。这种方法称之为基于气象灾害事件预报和历史灾损资料的风险评估方法,简称基于历史灾损资料的风险评估方法。

基于气象灾害事件预报和历史灾损资料的风险评估模型也是在气象灾害事件预报的基础上,评估受气象灾害影响范围内承灾体的可能损失,它所用到的评估资料是历史灾损资料。

基于历史灾损资料的风险评估方法有一个基本假定,灾损风险可以用历史灾损资料表示。但这个假定存在一定问题。我国改革开放30多年来,经济快速发展,承灾体的物理暴露增加,承灾体的脆弱性发生了很大的变化,同样强度的自然灾害造成的经济损失绝对值也增加了,同时防灾抗灾能力也有大幅度增强。因此,对历史灾损资料必须进行科学、客观的订正,使订正后的灾损资料的适用性提高。

2、历史灾损资料的订正

承灾体的物理暴露和脆弱性与社会经济的发展程度有关,历史灾损资料并不能真实反映灾害的强度。经济越发达的地区财产密度和人口密度越大,即物理暴露量越大;同时,承灾体的灾损敏感性也减小,例如房屋抗风能力增加;防灾减灾抗灾能力也增强。因此,使用历史灾损资料来评估现在的灾害风险,应当去除这些因素的影响,进行必要的订正。

(1)农业灾损资料订正

农业生产大多是露天作业。30多年来,农作物品种及其脆弱性发生了很大变化。但是历史受灾面积资料只与气象灾害本身有关,与农作物的脆弱性无关。因此,历史受灾面积资料可以连续使用,无须订正。但是,历史灾损产量资料则与农作物的脆弱性有关,需要进行生产力订正,得到产量损失指数;或者去除趋势产量得到的气象产量也只与致灾气象条件有关。若使用历史农业经济损失资料则需要进行订正。

(2)经济损失资料订正

经济损失包含着物价变化、经济增长率等诸多因素。受灾地区的财产密度随着经济的发展而增加,经济越发达,同样强度的气象灾害造成的损失越大。因此,在使用历史上经济损失的资料时应当进行两项订正,物价订正和GDP增长率的订正。如果物价和GDP增长率相同,那么用某地的经济损失除以同一地区当年的GDP便可以消除这两种因素的影响,称之为因灾经济损失指数。另外,一个地区的富裕程度基本上可以反映承灾体灾损敏感性和防灾减灾抗灾能力,进行富裕程度订正后,历史灾损资料也可能用于风险评估。

(3)人员伤亡资料订正

人员因灾死亡人数是与人口密度有关,同样强度的灾害,人口密度越大,可能造成的人员死亡数越大。因此,在使用因灾死亡人数的历史资料时应当予以订正。最简单的订正方法是评估区因灾死亡人员除以当年的人口数量,可称之为因灾人员死亡指数。

灾损资料进行订正之后得到各种灾损指数,然后采用相似、相关、分布函数法等方法进行风险评估,得到当前气象灾害事件的灾损指数,乘以当前的农业产量/GDP/人口密度,得到这个灾害事件可能产生的产量损失/经济损失/人员死亡。

3、基于历史灾损资料的风险评估的方法

基于历史灾损资料的风险评估的方法有分布函数法、历史相似法、相关法等方法。

(1)分布函数法

分布函数评估法的基本思路,是根据历史资料分析总结出气象灾害对不同承灾体造成灾害损失占GDP的百分比作为风险分布函数。

在实时评估业务中,根据当前气象灾害预报,可以知道评估地区所受气象灾害影响的范围和强度,查出其分布函数,乘以该地区目前的经济密度,得到经济损失评估结果。

该方法的关键是从历史资料中算出分布函数,需要较长时间的历史资料。因为该方法使用灾害损失占GDP的百分比作为风险分布函数,消除了物价和GDP增长的因素,因此可用于实时风险评估。如果用其它因子(例如直接经济损失)的分布函数,则需要进行物价和GDP增长两项订正。

该方法实际上假定孕灾环境和防灾工程没有发生变化,如果孕灾环境和/或防灾工程发生了变化,例如修建了防灾工程(例如农田排涝工程),则利用孕灾环境和/或防灾工程变化前的资料求得的分布函数,不能用于其变化后的风险评估。必须用孕灾环境和防灾工程变化之后的资料求分布函数,并对分布函数进行统计显著性检验。

(2)历史相似法(历史情景类比法)

历史相似评估法的主要思路,是在历史资料库中找出所评估的气象灾害强度和范围相似程度大于0.5的个例,根据相似程度分别给予每个相似个例一定的权重,然后对相似个例的灾损资料进行必要的订正,最后对相似个例订正后的灾损资料进行加权求和,得到这个气象灾害的灾损风险值。权重系数釆用相似系数归一化值。

例:对于某个例M,从历史上选出三个相似个例A、B、C

其相似程度分别为0.9、0.7和0.6,将相似系数归一化:对于个例A,其权重系数为:0.9/(0.9+0.7+0.6)=0.41,同样B和C的权重系数分别为0.32和0.27。

设A、B、C三个时期的GDP是M时期GDP的a%、b%、c%。相似个例灾害经济损失分别为,则得到个例M的经济损失:

(4.4)

如果评估的是受灾面积,则不需要进行经济发展和物价订正,受灾面积:

(4.5)

历史相似评估法的最大局限性是难以找到相似的个例。对于灾害风险评估,只有致灾因子的強度和地理上的分布相似,产生的灾损才有可能相似。寻找这样的相似个例,无论是方法还是个例的数量都有很大难度。为了获得足够多的历史样本,就需要长历史序列的个例,而较长历史时期承灾体的易损性也易发生变化,需要订正的不仅是经济发展速度和物价指数,还要考虑防灾减灾能力等问题。

(3)相关分析法

相关分析法是通过建立致灾因子与灾损的相关关系模型,进行灾害的风险评估。

设灾害损失矩阵为:(,…),为第i个灾损指标,例如死亡人数、直接经济损失等。

设致灾因子矩阵为:(,…),为致灾因子,例如降雨量、风力等。

选择合适的统计方法,建立致灾因子与灾损相关模型。

相关分析法对历史资料也有严格要求,第一要求使用订正后的灾损资料,第二致灾因子和订正后的灾损资料序列应当是平稳状态,这实际上要求在评估区域内孕灾环境和/或防灾工程不能有明显的变化。如果发生了明显变化,例如修建了新的防灾工程,则致灾因子会出现突变。如果没有有效的办法能将致灾因子订正到平稳的状态,则孕灾环境和/或防灾工程变化前的致灾因子序列在建模中不能连续使用。

总之,气象灾害风险评估有两种思路或方法,一种是基于气象灾害事件预警及历史灾损资料的风险评估,这种方法假设风险能够用过去灾害事件中的灾损历史资料来表示,但这个假定实际上很难成立。因为承灾体的物理暴露和脆弱性是随时间变化的。所以,必须将历史灾损资料订正到同一尺度上,才可能用于风险评估;同时要求评估区域在使用的历史资料时期内孕灾环境和/或防灾工程不能发生明显的变化。另一种是基于气象灾害事件预警及当前承灾体易损性的风险评估,即根据气象灾害事件预报的强度、范围和当前承灾体的易损性(物理暴露和脆弱性)进行风险评估。目前国内外大多数风险评估方法都是基于历史灾损资料的,为了实时防灾减灾的需要,应当大力发展基于气象灾害事件预警及承灾体易损性的风险评估方法。

三、基于信息扩散技术的风险评估

1、理论基础

针对小样本问题,信息扩散技术是一种相对有效的信息处理方法,它通过扩散算子将单个样本点数据的信息扩散为一个区域模糊信息,从而放大了样本点的信息表达范围,实现信息扩散的目的。黄崇福(1992)最早于1992年系统的提出了信息扩散技术,并将之应用于地震烈度等工程研究中。近年来,信息扩散技术被广泛应用于灾害研究中,例如王加义等(2012)基于信息扩散技术,研究了福建省农业水灾风险问题;王莺等(2013)基于信息扩散技术研究了甘肃省农业旱灾风险问题;朱再春等(2011)基于信息扩散方法结合遥感数据研究了冬小麦的估产模型;刘引鸽等(2005)研究了基于信息扩散技术的气象灾害风险评价方法。

在信息扩散技术中,二维信息扩散模型(黄崇福,2012)通过模糊数指标,计算两因素间的模糊关系,进而根据模糊数,通过二维因素中的一个样本,估算二维样本中的对应样本点结果,实现经验预测的效果。

针对样本记录相对较少灾害事件,通过引入了处理小样本数据的信息扩散方法,并基于二维信息扩散模型,建立风险度与脆弱度的信息扩散模糊关系模型,并在此模型的基础上,分析了不同风险强度下对附近建筑、道路交通中行人和车辆等承灾体的影响情况。

2、基于信息扩散技术的“雨强—水深”模糊关系模型构建步骤

以郭树军等(2012)基于信息扩散技术的暴雨内涝风险模型研究为例:

(1)根据指标的数据样本,构造两个指标的监控区间。

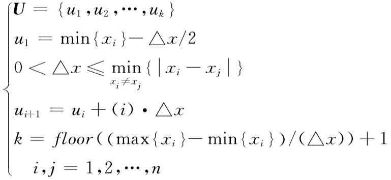
设针对易涝点A,存在一组降雨强度历史数据X={x1,x2,…,xn},以及与降雨数据对应的一组积水深度数据Y={y1, y2, …, yn}。

分别构造降雨强度和积水深度的样本监控区间UV,则由监控区间UV可以构成关于降雨强度和积水深度的二维向量空间

(4.6)

(4.7)

式(4.6)中,U代表由样本点X构造的监控点序列,代表监控点序列U中的第i个监控点,代表U中监控点序列之间的步长,k表示U中的监控点个数,floor()函数表示向下取整操作。

式(4.7)中,V代表由样本点Y构造的监控点序列,代表监控点序列V中的第i个监控点,代表V中监控点序列之间的步长,m表示V中的监控点个数,floor()函数表示向下取整操作。

(2)利用二维信息扩散模型,计算样本数据在二维指标监控空间的信息矩阵。

在二维指标空间中,根据二维正态扩散公式(4.8),计算样本点(,)在监测点(,)上的扩散信息,记为,表示第i个样本点在二维监控空间中确定的监控点上的信息扩散量,其中,(,)表示由降雨强度和积水深度构成的样本点数据,(,)表示由降雨强度监控点和积水深度监控点构成的监控点数据。分别表示样本数据X和样本数据Y对应的扩散系数,扩散系数的确定方法可参见文献[9]。

式(4.9)表示单个样本点(xi,yi)在监控空间上的信息扩散矩阵,称为单点信息扩散矩阵。

式(4.10)表示对所有样本点在监控空间上的信息扩散矩阵的累加,称为样本点累计信息扩散矩阵。

(4.8)

(4.9)

(4.10)

(3)模糊关系矩阵的归一化

利用公式(4.11),对式(4.10)中数据做进一步处理,可以计算得出监控空间上的一个模糊关系矩阵,用表示,则表示所有样本点在监控空间上的原始信息矩阵。

(4.11)

(4)利用模糊推理公式,输入降雨强度预报数据,估计易涝点的积水深度。

利用模糊推理公式(4.12)和max-min模糊合成规则(4.13),可以估计在降雨强度下,该易涝点的积水深度,公式(4.12)中“”符号表示某种运算规则。

(4.12)

(4.13)